Accueil
Grille des cours
3ème
Elec
4ème
Elec
Labo
5ème 
Divers
6ème
Auto
Eindus
Liens

 

 

 

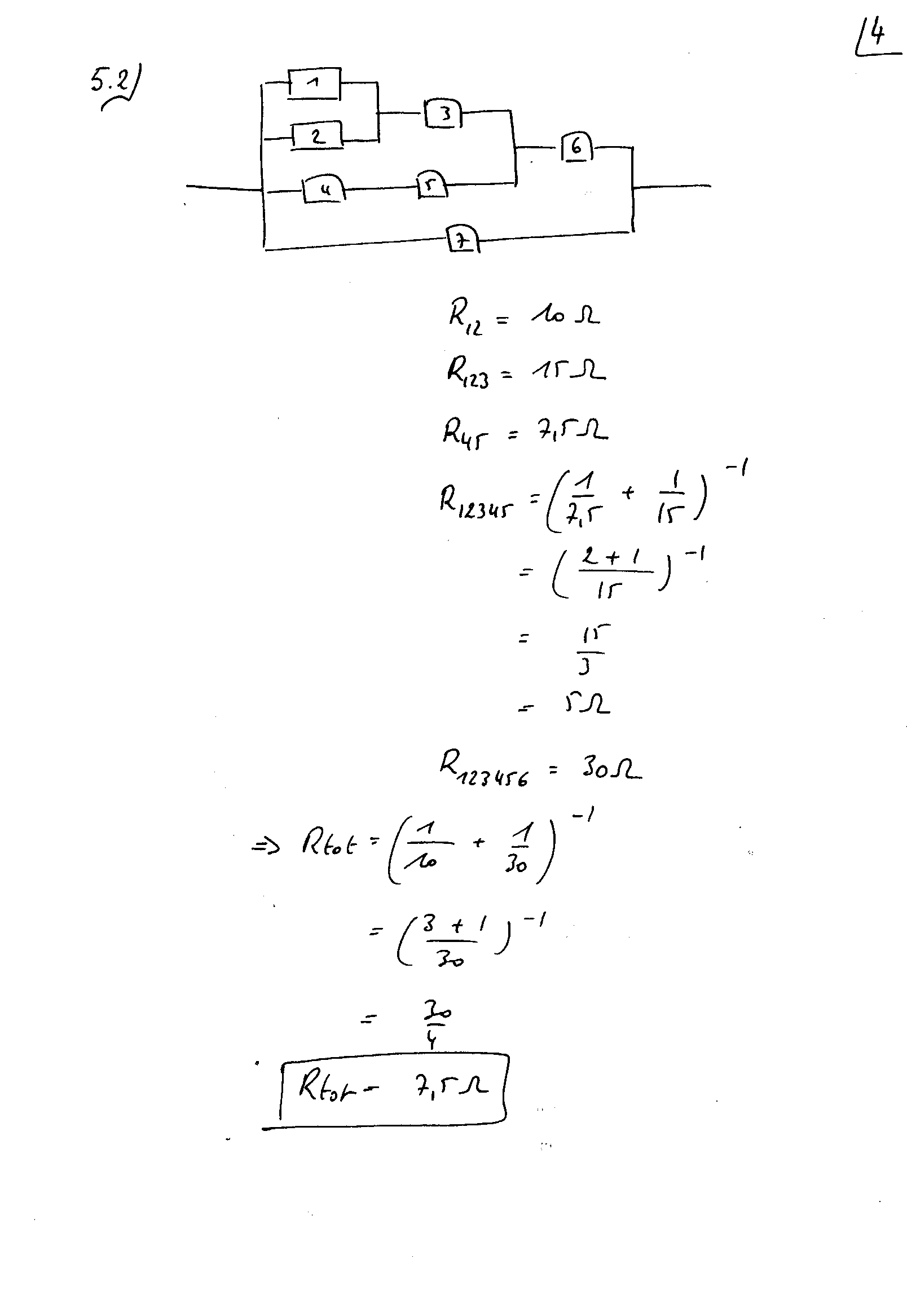
Correction de l'examen de janvier 2002 : Elec 3ème

énoncé p1 ; énoncé p2 ; page 1 ; page 2 ; page 3 ; page 4